为提高2021级新生对会计专业学习的积极性和主动性,提高会计专业技能,锻炼专业思考能力,培养和展现会计专业知识的魅力,近期,会计学院在教学楼102教室成功举办了“以会计成就人生”系列活动之会计基础知识竞赛,此次竞赛共有100余名来自beat3652021级大数据与会计等相关专业的同学报名参加。

此次竞赛从会计的概念、会计的职能、会计的六大要素、会计科目等方面考察学生对会计基础知识的认识与理解。竞赛试题共包括四个大题,选择题和判断题考核学生对理论知识的掌握,填空题考察了学生对银行余额调节表的掌握,分录题考察了学生对业务流程的熟练度。对于这次竞赛,各班高度重视,认真组织、选派精英选手参赛。竞赛全面、深入地考察了同学们对《会计基础与操作》课程内容的掌握情况。在考试时,选手们冷静,审慎思考,仔细作答,充分体现了个人的专业知识水平掌握程度。

此次竞赛的目的是要巩固学生的会计专业知识,锻炼财会思考能力。竞赛活动的成功举办为学生提供了一个梳理和整合专业知识的平台,寓学于乐,将专业知识与生活接轨,同时也为后续会计专业课程的学习和学校培养会计专业高端技能型人才奠定了坚实的基础。
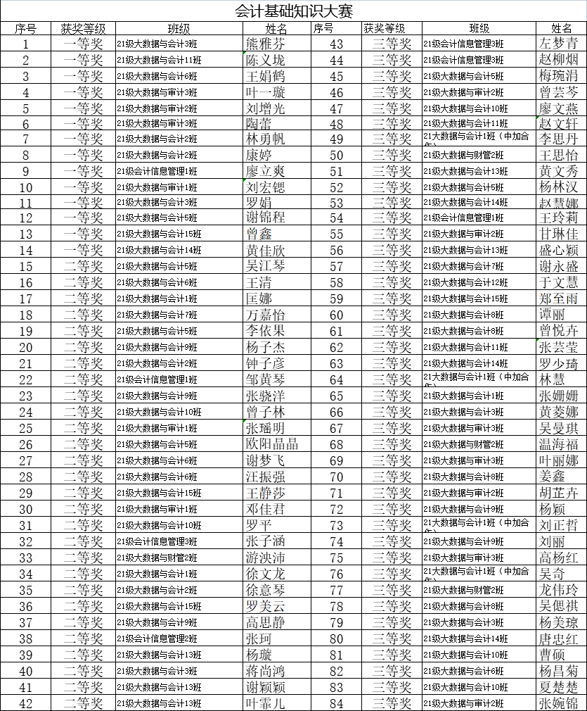
附:获奖名单


(文/图 宋振宇)编审:刘翰